Above: (c) Erin Walsh for Journal of Conservation Physiology on the evolution of heat tolerance in Daphnia
Earlier this week, I introduced you to the aquatic flea, Daphnia magna, and its habitat in urban environments. I’ll pick up where I left off and tell you now about the research I’ve been doing with these aquatic organisms.
After demonstrating that urban ponds are significantly warmer than rural ponds, we investigated how these temperature differences affect functional traits in urban compared to rural populations of aquatic animals. We thus set out to test the hypothesis that urbanization-driven warming (and associated oxygen limitation) in ponds and pools can lead to urbanization-driven evolutionary adaptations in water fleas, most likely linked to traits such as heat tolerance, life history, and stress physiology.
We cultured the Daphnia clones for multiple generations prior to the trait assessments in order to reduce maternal effects. We included a temperature treatment (20 °C and 24 °C) to mimick thermal field conditions and the observed UHI effect, enabling us to assess plasticity responses to warming in both urban and rural clones. Given the disturbances observed in urban habitats, it is not unlikely that clones with a high trait versatility (in the case of labile traits) would be selected for and evolution of plasticity would be observed.

The results of our study (Brans & De Meester, 2018) show that Daphnia from city populations show an increase in what is termed their ‘pace-of-life’. Compared to rural genotypes, urban lineages mature faster and release their offspring sooner. They produce more offspring (note: in later clutches) and are characterized by a higher intrinsic population growth rate. In addition urban Daphnia mature at a smaller size. The evolution of a smaller size along such small climatic gradients thus aligns well and is in concordance with observations of size reductions across larger climatic (altitudinal and latitudinal) and seasonal temperature gradients (i.e. the ‘temperature-size’ rule). Remarkably, in parallel to the observation that Daphnia magna evolved to become mature at a smaller size, zooplankton communities also seem to ‘shrink’ (based on average abundance weighted community body size measurements) (Brans et al., 2017a), thus seemingly indicating evolutionary and ecological responses to urban heat islands in this taxon group run in parallel.

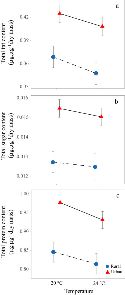
In addition to life history traits, we also measured stress physiological variables, such as energy reserves (fat, protein, and carbohydrate concentration), and anti-oxidative repair and damage parameters. We found urban water fleas to contain higher levels of all thee energy storage molecules. Remarkably, while anti-oxidative repair enzyme concentrations (catalase and glutathione-S-transferase) were lower in urban compared to rural populations, oxidative damage (measured as lipid peroxidation) did not differ between both groups, suggesting a more efficient or different stress tolerance mechanism at play (e.g. Heat Shock Proteins, but not assessed in this study).
Using path analysis (SEM), we additionally found that traits in urban Daphnia populations are characterized by a syndrome, structuring life history and physiology trait covariation patterns along the pace-of-life axis. Remarkably, this pace-of-life syndrome (POLS) was absent in rural populations. The observed POLS thus indicates a concerted change in both life history and physiology traits in urban, but not rural Daphnia. While we observed higher mean levels of energy reserves, in urban compared to rural populations, the POLS indicates a faster life style (faster maturation and offspring release, smaller size, higher intrinsic population growth rates and fecundity) comes at a depletion of energy reserves and an increase in oxidative stress in the set of urban clones.
The fact that an underlying syndrome between life history and physiology is only present in the city populations is in line with the hypothesis that such strong associations between suites of life-history, physiological or behavioural traits are more likely to occur in low-quality habitats or stressful conditions. We hypothesize that selection in urban ponds for a faster pace-of-life due to warming (and potentially indirect effects of warming-driven changes in biotic interactions) is substantial and aligns physiology and life history in order to drive this pace-of-life evolution. In rural ponds, physiology might be decoupled from life history as selection likely acts on different components of life history evolution (i.e. not necessarily a faster life style or smaller size). In this study we measured life history and physiology, nevertheless it is not unlikely that such POLS structures can also evolve in rural populations but among other traits (e.g. immunological traits and life history).

We do not rule out any other environmental parameters might be shaping the observed responses (see Brans et al., 2018b). We argue both urban and rural ponds environments are highly variable in their local environmental characteristics, but are systematically differing in their thermal profiles and disturbance levels. These conditions can drive the evolution of a faster pace-of-life, together with stress physiology, in such a way that stress physiology becomes aligned to serve life history evolution via the evolved POLS structure. Results from an earlier study support this thermal adaptation hypothesis. We found clear evolution of heat tolerance measured as CTmax (Critical Thermal Maximum) in urban Daphnia, which is adaptive in a context of urban heat islands. Compared to rural Daphnia, urban populations show an evolutionary increase in heat tolerance of up to 2°C.

The study on Daphnia here presented is an example of a multi-trait approach, which will likely become more important and prevalent in future urban evolutionary ecology studies. While we plan to look into other potential evolutionary dynamics driving multi-trait evolution in urban Daphnia (e.g. neutral evolution), it is striking that we found genetic differentiation for more than 12 traits. Such multi-trait studies are key to increase our understanding on which environmental conditions might be driving adaptive evolution in cities and are the predominant selection factors. Comparing such multi-trait studies across taxon groups might also increase our understanding on how organisms are differential impacted by selective agents in urban areas.
Our research confirms the hypothesis that organisms living in ponds and pools show evolutionary changes in response to urbanization and warming. With regard to Daphnia, our future work will focus on the genomic background of the observed responses and, in addition, the possible consequences for ecosystem functioning (e.g. grazing efficiency and clear water stabilization).
Next time you wander around in the city park and bump into a pond, take a look around and enjoy the damselflies in mating modus, the frog scalling for ‘attention’, and of course the water fleas hopping and sinking around in dense clouds in the water.
For more work on urban aquatic ecology and evolution I recommend the research performed by the research groups of Prof. Christopher Hassall (Hassall) and Prof. Robby Stoks (Stoks Lab). Both teams work on Odonata ecology and evolution in an urban context and found differences in wing shape, flight performance, and growth rates among urban and rural damselflies in response to changes in temperature and habitat fragmentation in cities.


Leave a Reply